- 生化试剂
- ELISA检测
-
抗体蛋白
二抗生物素标记 过氧化物酶(HRP)标记 胶体金试剂 FITC荧光标记 RBITC荧光标记 二抗免疫血清 其它荧光标记二抗 藻红蛋白(PE)荧光标记 胶体金(Gold)标记 SAlexa Fluor荧光系列 碱性磷酸酶(AP)标记 别藻蓝蛋白(APC)荧光标记 其它标记 PE标记二抗 DyLight标记二抗 AU标记二抗 Biotin标记二抗 AMCA标记二抗 Texas Red标记二抗 TRITC标记二抗 HRP标记二抗 未标记二抗 Cy标记二抗 AbBox Fluor标记二抗内参抗体 小分子抗体抗体标记试剂盒细菌抗体蛋白病毒包装试剂杂交瘤融合筛选WB、IHC、ELISA相关试剂细胞培养试剂病原微生物抗原抗体假病毒抗体校准品其他抗原抗体标记的标签抗体病理级IHC抗体重组蛋白
- 细胞培养
- 实验耗材
- 仪器设备
- 生化试剂盒
- 小分子试剂
- 基质胶
-
斑马鱼产品
订货时间:周一至周五
订货Q Q:79688691
订货邮件:79688691@qq.com
基本信息-
产品名称辅酶Ⅱ(NADP+/NADPH)含量测试盒
-
检测方法比色法
-
保存温度按试剂盒各组分温度保存
-
有效期6个月
产品简介正式测定前务必取2-3个预期差异较大的样本做预测定
测定意义:辅酶ⅡNADP(H)广泛存在于动物、植物、微生物和培养细胞中,NADP+和NADPH 含量测定可以计算NADP(NADPH + NADP+)含量和NADPH/NADP+比值,其变化与磷酸戊糖途径和生物合成以及抗氧化反应密切相关。NADPH/NADP+比值不仅是细胞氧化还原态的主要标志之一,而且在PPP 途径、生物合成和抗氧化代谢中具有重要调控作用。
测定原理:分别用酸性和碱性提取液提取样品中NADP+和NADPH。NADPH通过PMS的递氢作用,使氧化型噻唑蓝(MTT)还原为甲瓒,570nm下检测吸光值,从而测定NADPH含量。利用6-磷酸葡萄糖脱氢酶还原NADP+为NADPH,从而检测NADP+含量。
产品组成酸性提取液:50mL×1 瓶,4℃保存;
碱性提取液:50mL×1 瓶,4℃保存;
试剂一:液体15 mL×1 瓶,4℃保存;
试剂二:粉剂×1 支,-20 ℃保存,用时加入4mL 蒸馏水,混匀;用不完的试剂4℃保存一周;
试剂三:粉剂×1 支,-20℃保存,用时加入4mL 蒸馏水,混匀;用不完的试剂4℃保存一周;
试剂四:粉剂×1 支,4 ℃保存,用时加入4mL 蒸馏水,混匀;用不完的试剂4℃保存一周;
试剂五:液体1.8mL×1 支,4 ℃保存;
试剂六:液体30mL×1 瓶,4 ℃保存;
试剂七:液体50mL×1 瓶,4 ℃保存。
操作步骤(仅供参考)自备材料
可见分光光度计、台式离心机、可调式移液器、1mL玻璃比色皿、研钵、冰和蒸馏水
操作步骤(仅供参考)
(假如 NADP+和 NADPH 均要测定,则可测样本数减为12)
(一)NADP+和NADPH 的提取
1. 血清(浆)中NADP+和NADPH 的提取:
NADP+的提取:按照血清(浆)体积(mL):酸性提取液体积(mL)为1:5~10 的比例(建议取约0.1mL血清(浆),加入1mL酸性提取液),煮沸5min(盖紧,以防止水分散失);冰浴中冷却后,10000g 4 ℃离心10min;取上清液至另一新的离心管中,加入等体积的碱性提取液使之中和,混匀,10000g 4 ℃离心10min,取上清,置冰上待测。
NADPH 的提取:按照血清(浆)体积(mL):碱性提取液体积(mL)为1:5~10 的比例(建议取约0.1mL血清(浆),加入1mL 碱性提取液),煮沸5min(盖紧,以防止水分散失);冰浴中冷却后,10000g 4 ℃离心10min;取上清液至另一新的离心管中,加入等体积的酸性提取液使之中和,混匀,10000g 4 ℃离心10min,取上清,置冰上待测。
2. 组织中NADP+和NADPH 的提取:
NADP+的提取:按照组织质量(g):酸性提取液体积(mL)为1:5~10 的比例(建议取约0.1g组织,加入1mL 酸性提取液),冰浴研磨,煮沸5min(盖紧,以防止水分散失);冰浴中冷却后,10000g 4 ℃离心10min;取上清液至另一新的离心管中,加入等体积的碱性提取液使之中和,混匀,10000g 4 ℃离心10min,取上清,置冰上待测。
NADPH 的提取:按照组织质量(g):碱性提取液体积(mL)为1:5~10 的比例(建议取约0.1g 组织,加入1mL 碱性提取液),冰浴研磨,煮沸5min(盖紧,以防止水分散失);冰浴中冷却后,10000g 4 ℃离心10min;取上清液至另一新的离心管中,加入等体积的酸性提取液使之中和,混匀,10000g 4 ℃离心10min,取上清,置冰上待测。
3. 细胞或细菌中NADP+和NADPH 的提取:
NADP+的提取:先收集细胞或细菌到离心管内,弃上清,按照细菌或细胞数量(104 个):酸性提取液体积(mL)为500~1000:1 的比例(建议500 万细菌或细胞加入1mL 酸性提取液),超声波破碎1min(冰浴,强度20%或200W,超声2s,停1s),煮沸5min(盖紧,以防止水分散失);冰浴中冷却后,10000g 4 ℃离心10min;取上清液至另一新的离心管中,加入等体积的碱性提取液使之中和,混匀,10000g 4 ℃离心10min,取上清,置冰上待测。
NADPH 的提取:先收集细胞或细菌到离心管内,弃上清,按照细菌或细胞数量(104 个):碱性提取液体积(mL)为500~1000:1 的比例(建议500 万细菌或细胞加入1mL 碱性提取液),超声波破碎1min(冰浴,强度20%或200W,超声2s,停1s),煮沸5min(盖紧,以防止水分散失);冰浴中冷却后,10000g 4 ℃离心10min;取上清液至另一新的离心管中,加入等体积的酸性提取液使之中和,混匀,10000g 4 ℃离心10min,取上清,置冰上待测。
(二)测定步骤: (在1.5mL 棕色EP管中按下表依次加样,反应过程需要避光):
| 试剂名称(μL) | 对照管 | 测定管 |
| 样本 | 50 | 50 |
| 试剂一 | 250 | 250 |
| 试剂二 | 75 | 75 |
| 试剂三 | 75 | 75 |
| 试剂四 | 75 | 75 |
| 试剂五 | 35 | 35 |
| 试剂六 | 500 | 混匀,室温避光静置20min |
| 试剂六 | 500 | |
| 充分混匀,静置5min后,20000g,25℃离心5min,弃上清,沉淀中加入试剂七 | ||
| 试剂七 | 1000 | 1000 |
| 混匀,波长570nm,光径1cm,双蒸水调零测定对照吸光值A1和测定管吸光值A2,计算△A=A2-A1 | ||
注:对照管试剂五加完后必须马上加入试剂六,而测定管加完试剂五之后必须反应20min后再加试剂六。
计算公式
(一)NADP+含量的计算:
1. 血清(浆)中NADP+含量计算:
2. 组织、细菌或细胞中NADP+含量计算
(1)按样本蛋白浓度计算
(2)按样本鲜重计算
(3)按细菌或细胞密度计算
(二)NADPH 含量的计算
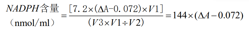
1. 血清(浆)中NADPH 含量计算
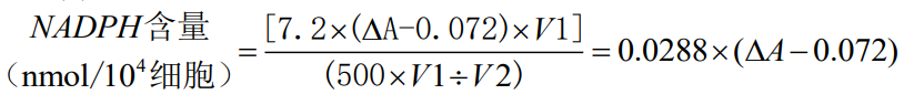
2. 组织、细菌或细胞中NADPH 含量计算
(1)按样本蛋白浓度计算
(2)按样本鲜重计算
(3)按细菌或细胞密度计算
V1:加入反应体系中样本体积,0.05mL;
V2:加入提取液体积,2mL;
V3:加入血清(浆)体积:0.1mL;
Cpr:样本蛋白质浓度,mgprot/mL(prot指蛋白);
W:样本质量,g;
500:细胞或细菌总数,500 万。
注意事项1. 如果一次性测定样本数较多,可将试剂一、二、三、四按比例配制成混合液,现用现配。
2. 反应过程中注意避光。
3. 由于每个管需要设定一个对照管,本试剂盒50管可测24份NADP+或NADPH,二者都测则可测12份。
4. 最低检测限为1nmol/mL或1nmol/g组织鲜重或者0.01nmol/mgprot。
5. 我司生产的生化试剂如无特殊标注,基本为非无菌包装,若用于细胞实验,请提前做好预处理。需低温保存的产品,一旦配成溶液,请分装保存,避免反复冻融造成的产品失效。
6. 本产品仅供科研使用。请勿用于医药、临床诊断或治疗,食品及化妆品等用途。请勿存放于普通住宅区。
7. 为了您的安全和健康,请穿好实验服并佩戴一次性手套和口罩操作。
8. 实验结果可由多种因素影响,相关处理只限于产品本身,不涉及其他赔偿。
备注:由于产品信息可能会有优化升级。请以实际收货标签信息为准。



